高溫鈦合金是指可在400℃以上長時間服役的結構鈦合金,與在室溫下服役的普通結構鈦合金相比,高溫鈦合金主要具有耐高溫和抗氧化等優點[1]。隨著航空航天制造業的加速發展,關鍵零部件的服役溫度和比強度要求不斷提高,各國研究人員都致力于開發高溫鈦合金并積極推廣應用[2]。例如,美國自1966年起開發出Ti6246、Ti6242、Ti6242S、Ti1100系列高溫鈦合金,將其使用溫度由450℃提高至600℃,英國IM1834和俄羅斯BT36也已發展成為與之媲美的600℃高溫鈦合金,并成功應用于高推力比飛機發動機關鍵部件[3?4]。
中國的高溫鈦合金開發起步較晚,并且初期以仿制國外成熟牌號為主,例如TC11和TA19的名義成分分別與俄羅斯BT9和美國Ti6242S基本一致[5?6]。為實現自主創新,我國研發人員通過添加適量稀土元素Nd以純化合金的方法,開發出了具有自主知識產權的高溫鈦合金Ti55[7]。該合金的名義成分為Ti?5.5Al?4Sn?2Zr?1Mo?0.25Si?1Nd,是一種具有良好熱強性和熱穩定性的近α型鈦合金,能夠在550℃以下長時間服役[8]。此外,該合金還具有優異的塑性成形和機械加工能力,適用于制造發動機壓氣機盤、鼓筒和葉片等在高溫環境服役的航空零件,因此吸引了大量研究人員對稀土元素進行系統研究與化學成分優化。Li等[9]研究了鑄態Ti55合金中富Nd相的形貌特征,表明晶界處的富Nd相呈橢圓形,長軸與晶界平行,尺寸在1~15μm范圍。富Nd相的晶體結構為SnO型正交結構[10],成分為Nd3Sn[11],并形成于基體凝固之前,從而起到了細化鑄態組織晶粒的作用[12],鑄造后的熱變形無法改變鑄態組織中富nb相的形狀和分布情況[13]。Zhang等[14]則在Ti55合金名義成分基礎上加入C元素,從而改變了Al和Mo元素在初生α相以及α相束集中的分布情況,并進一步研究了時效處理對合金中不同類型α相的長大行為的影響[15]。Wang等[16]研究了Ti55合金在溫度范圍1040~1100℃、應變速率范圍0.001~70S-1內的熱變形行為,并建立了本構模型,為數值模擬奠定了基礎。
為進一步研究Ti55鈦合金的力學性能變化規律,本文以鍛造變形態Ti55合金為研究對象,重點關注不同條件下熱暴露對其顯微組織和力學性能的影響,并對高溫疲勞斷口的顯微形貌特征進行對比分析,為提高該系列高溫鈦合金的性能提供依據。
1、試驗材料及方法
1.1試驗材料
試驗所用Ti55合金的主要合金元素及雜質元素含量分析結果見表1。

對Ti55合金進行兩相區鍛造變形后再進行退火處理,熱暴露前原始狀態的顯微組織和XRD圖譜如圖1所示,可見其為典型雙態組織,由初生α相和β相構成。

1.2試驗方法
對原始狀態的Ti55合金進行熱暴露試驗,溫度為400、500、600、700和800℃,暴露時間控制為2、4、8和12h,共計20組。加工室溫拉伸力學性能試樣,然后使用ag?XPLUS100Kn型萬能試驗機以0.5mm/min拉伸速度在室溫下將試片拉斷,拉伸過程中使用EpSilon3442軸向引伸計測量標距伸長量,從而判斷屈服強度??估瓘姸扔勺畲罅χ蹬c原始截面積之比求得,伸長率由標距斷后伸長量與原始標距之比求得。
通過ICX41M型光學顯微鏡對Ti55合金的顯微組織進行觀察。金相樣品制備時,先磨至5000號砂紙后采用50nm非結晶二氧化硅拋光液進行機械拋光,再在體積比為1∶3∶7的氫氟酸、硝酸、水溶液中腐蝕10~30S。使用SmartLab型X射線衍射儀進行相分析,掃描速度為5°/min,掃描范圍為20°~100°。電子背散射衍射分析(EBSD)在apreo2C場發射掃描電鏡上進行,測試前使用ILionII697型氬離子拋光系統對掃描表面進行預處理。使用JXa?8530F型場發射電子探針測量顯微組織中的元素分布情況,測試前對Ti55樣品進行機械拋光后進行輕微腐蝕,再使用二次電子成像后對特征區域進行化學元素EPMa線掃描。
為了研究不同狀態Ti55合金的斷裂特征,將一側表面經過機械拋光和金相腐蝕的拉伸試片以上述室溫拉伸試驗方式拉斷,再使用SEM觀察斷口附近裂紋起始處的組織形貌特征。最后在配有高溫爐的MTS疲勞試驗機上制備了Ti55合金在400℃和700℃下的高溫疲勞斷口,并使用SEM對比分析斷口的形貌特征。
2、試驗結果與分析
2.1室溫拉伸力學性能
在不同溫度下暴露不同時間后的Ti55合金室溫拉伸力學性能變化情況如圖2所示,從圖2(a)可以看出,本研究涉及的熱暴露參數對屈服強度影響不明顯,云圖中最大值和最小值差異約為30MPa。圖2(b)中抗拉強度在550℃以下范圍均高于920MPa,當暴露溫度高于550℃時,抗拉強度值將隨溫度的升高和時間的延長明顯降低,在800℃暴露12h后的抗拉強度值最小為886MPa。由圖2(c)可以看出,伸長率的變化主要取決于熱暴露溫度,當溫度低于550℃時伸長率大于15%,且基本不受時間的影響;當暴露溫度高于550℃時,伸長率將隨溫度的升高和時間的延長明顯降低,這與抗拉強度的變化規律一致。圖2(d)綜合給出了屈服強度?抗拉強度?伸長率?暴露溫度之間的關系,隨著暴露溫度由400℃升高至800℃,伸長率由18%下降至7%,與此同時,屈服強度略有下降(-1.4MPa/100℃),而抗拉強度的下降幅度則更加顯著(-5.2MPa/100℃)。屈服強度的微小改變說明,800℃以下的熱環境不會顯著改變Ti55合金的強化機制,但塑性降低以及應變硬化不足導致的抗拉強度下降是熱暴露對力學性能的主要影響。

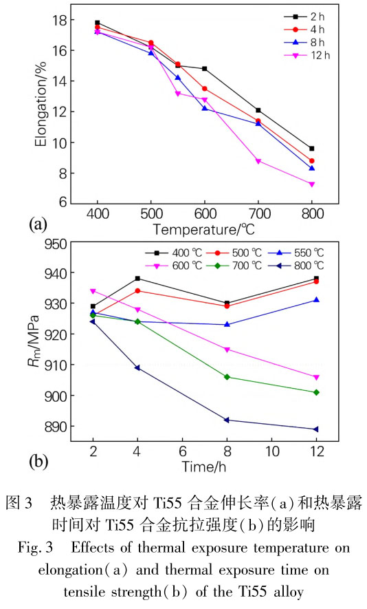
圖3為熱暴露溫度及時間對Ti55合金伸長率和抗拉強度的影響規律。由圖3(a)可知,伸長率隨溫度的升高呈線性下降,下降速度約為2.5%/100℃;其中 的4條折線在400~500℃范圍內基本重合,體現出保溫時間的影響并不顯著;隨著熱暴露溫度的升高,折線間逐漸分離,因此保溫時間的作用在550℃以上逐漸 顯現。伸長率反映了材料在受拉力作用下的延展性。

高伸長率的材料能夠經歷較大的形變而不斷裂,具有較好的延展性,常見于需要彎曲或受到拉伸力的應用中。圖3(b)中抗拉強度受熱暴露時間的影響同樣體現在550℃以上,而400~550℃范圍內,保溫時間延長不會改變抗拉強度水平。因此,Ti55合金可在550℃以下長時間使用主要體現在抗拉強度在此溫度范圍可維持平穩水平??估瓘姸缺硎静牧夏軌虺惺艿淖畲罄鞈?,高抗拉強度通常意味著材料在受力下具有較好的強度和硬度,適用于需要承受高拉伸負荷的應用。
2.2顯微組織表征
根據鈦合金鉬當量計算公式[Mo]eq=[Mo]+0.2[TA]+0.28[nb]+0.4[W]+0.67[V]+1.25[Cr]+1.25[ni]+1.7[Mn]+1.7[Co]+2.5[Fe],Ti55合金的鉬當量[Mo]eq=1.12;根據鋁當量計算公式[Al]eq=[Al]+0.17[Zr]+0.33[Sn]+10[O],其鋁當量[Al]eq=7.33。因此,Ti55合金屬于近α型鈦合金,且α+β→β轉變溫度約為1040℃。
圖4為不同熱暴露條件下Ti55合金的顯微組織,與圖1(a)中的原始狀態相比,3幅圖片的顯微組織形貌特征基本一致,均為典型雙態組織,其中包括等軸狀初生α相和片層狀的α相束集??紤]到Ti55合金的β轉變溫度約為1040℃,高于熱暴露溫度,因此該熱暴露試驗不會改變合金的顯微組織類型。

由于光學顯微組織觀察前需要對合金拋光表面進行化學腐蝕,易在相界面處形成輪廓起伏,掩蓋界面處的相分布差異,又因為光學顯微鏡放大倍數不夠高,因此不適于對比界面處細微的相分布差異。針對此問題,本研究進一步采用EBSD測試,以較高的放大倍數分析α相和β相在2種不同熱暴露條件下的分布情況,如圖5所示。圖5(a)為Ti55合金在400℃下暴露12h的情況,屬于低溫暴露;圖5(b)為Ti55合金在800℃下暴露12h的情況,屬于高溫暴露。圖5中的白色區域為α相,藍色區域為β相。通過對比可以發現,圖5(b)中的藍色β相含量明顯多于圖5(a)。在圖5(a)中,細小的β相較為均勻地分布在紅色塊狀α相束集(即α相束集)的相互交接區域,而在α相束集內部卻未發現明顯的β相。相比之下,圖5(b)中紅色塊狀α相束集之間不僅存在均勻細小的β相,而且還有寬度約為1μm的塊狀β相,其以斷續的特征分布在α相束集相互交接區域。由此可知,在較高溫度下進行熱暴露后,Ti55合金中的β相會在α相束集交接處發生局部粗化現象。

為了進一步分析熱暴露對Ti55合金中元素分布的影響,利用化學元素EPMa線掃描進行測試,結果如圖6所示。分析發現,Mo和Si的分布情況受熱暴露影響較大。其中Mo作為β型穩定元素,在α相束集的板條之間存在聚集現象,而且隨著熱暴露溫度由550℃升高至800℃,Mo元素偏聚區的最大濃度也由2%升高至4%。對于Si而言,550℃熱暴露時,其在晶內和晶界區域均屬于均勻分布狀態,平均含量約為0.25%,與表1結果一致。當溫度升高至800℃時,Si明顯偏聚于晶界區域,包括初生α相周圍界面和α相束集內的板條間界面,最大濃度可達1%。作為間隙型共析元素,Si在高溫鈦合金中的作用主要是形成硅化物以提高整體的抗蠕變性能。形成的硅化物主要有兩種:S1型的Ti5Si3和S2型的Ti6Si3。當其他合金元素加入時,根據合金類型的不同,將在S1和S2晶型中置換部分Ti元素或Si元素,形成晶體結構相同、晶格常數有所不同的新Si化物,如Ti?Al?Si系合金中的Ti3(Al,Si)和Ti5(Al,Si)3相。由于Si和Ti的原子尺寸差別較大,在固溶體中容易在位錯處偏聚,并嚴重阻礙位錯運動,影響合金整體的塑性變形協調能力。

因此,在高溫鈦合金中加入的Si量以不超過α相最大固溶度為宜,一般為0.25%左右。本研究中發現,800℃下熱暴露12h會使Si在組織界面發生明顯聚集,此現象與圖3(a)中伸長率的下降有關。將經過熱暴露的Ti55合金加工成拉伸試片,再對其表面進行拋光和腐蝕以顯示組織,最后將其拉斷,并用SEM觀察斷口附近裂紋萌生區域的形貌特征,如圖7所示。對于在550℃下暴露12h的情況(見圖7(a)),材料斷裂前發生了明顯的塑性變形,樣品表面可觀察到相互平行的滑移線,而本來平整的樣品表面因局部塑性變形的影響而出現浮凸特征,本試驗中的裂紋起源于α相束集之間的界面位置。這些形貌特征表明,Ti55合金在550℃下經過長時間熱暴露后依然能保持自身的塑性變形和協調能力,這與圖2(c)中的塑性演化規律一致,并和圖6(a,b)中Si的均勻分布有關。

相比之下,圖7(b)中材料經800℃暴露12h的形貌則體現出較差的塑性變形和協調能力,此時樣品表面平整且未發現明顯滑移線,裂紋萌生的位置均位于α相束集內的板條界面處,即圖6(c,d)中的Si集中處,且裂紋張開方向與拉伸方向一致,說明800℃熱暴露導致材料的Si在界面處聚集,明顯降低了局部抗變形能力,從而使裂紋萌生于α相板條間區域,使整體塑性嚴重惡化。
對于Ti55合金而言,經過550℃以上熱暴露而引起的Si元素偏聚將顯著降低其塑性,該現象也同樣體現在高溫疲勞斷口的形貌特征中。圖8分別為低于和高于550℃兩種情況下的高溫疲勞斷口形貌,其中圖8(a,b)為400℃熱暴露下的斷口,圖8(c,d)為700℃熱暴露下的斷口。圖8(a)中的河流花樣表明,400℃暴露下材料的高溫疲勞裂紋擴展為穿晶模式。而圖8(c)所示的700℃暴露下材料則體現出明顯的沿晶模式,這同樣是由Si元素在晶界偏聚導致。Ti55合金高溫疲勞條帶形貌如圖8(b,d)所示,400℃及700℃熱暴露下斷口的條帶特征細密且呈弧形,圓心處指向疲勞源方向,且在疲勞條帶區域分布著明顯的二次裂紋,表現出Ti55合金的高溫疲勞斷口典型特征。

3、結論
1)550℃以下長時間熱暴露時,Ti55合金的屈服強度和抗拉強度基本保持穩定,而伸長率則隨著熱暴露溫度由400℃升高至800℃,相應地由18%下降至7%。
2)800℃以下熱暴露不改變Ti55合金的顯微組織類型,但在較高溫度下進行熱暴露時,Ti55合金中的β相會在α相束集交接處發生局部粗化現象。
3)熱暴露溫度高于550℃以上時,Si明顯偏聚于晶界區域,包括初生α相周圍界面和α相束集內的板條間界面,最大濃度可達1%。
4)隨著熱暴露溫度的升高,Ti55合金的高溫疲勞斷口特征由穿晶韌性向沿晶脆性發生轉變。
參考文獻:
[1]王清江,劉建榮,楊銳.高溫鈦合金的現狀與前景[J].航空材料學報,2014,34(4):1?26.
WangQingjiang,LiuJianrong,YangRui.hightemperatureTiTAniumAlloyS:STAtuSaNdperSpecTive[J].JournAlofaeronauTicAlMateriAlS,2014,34(4):1?26.
[2]董飛,何國強,張貴田.合金元素Si在鈦合金中作用的研究進展[J].金屬熱處理,2007,32(11):5?10.
DongFei,heguoqiang,ZhangguiTian.ReSearchdevelopmentoftheeffectonSielementonTiTAniumAlloy[J].heatTreatmentofMeTAlS,2007,32(11):5?10.
[3]吳明宇,弭光寶,李培杰,等.600℃高溫鈦合金燃燒組織演變及機理[J].物理學報,2023,72(16):198?216.
WuMingyu,Miguangbao,LiPeijie,etAl.EvoluTionaNdmechaniSmofcombuSTionmicroStructureof600℃hightemperatureTiTAniumAlloy[J].acTAPhySicaSinica,2023,72(16):198?216.
[4]張阿莉,劉棟,湯海波,等.熱暴露對激光沉積Ti60a高溫鈦合金組織性能影響[J].稀有金屬材料與工程,2014,43(7):1687?1690.
ZhangAli,LiuDong,TAnghaibo,etAl.EffectofthermAlexpoSureonmicroStructureaNdmechanicAlproperTieSoflaSerdepoSitedTi60ahightemperatureTiTAniumAlloy[J].RareMeTAlMateriAlSaNdEngineering,2014,43(7):1687?1690.
[5]賈倩,姚澤坤,張東亞,等.不同溫度鍛造的Ti2Alnb/TC11雙合金焊接界面組織在熱暴露時的變化[J].焊接學報,2014,35(11):79?83,117.
JiaQian,YaoZekun,ZhangDongya,etAl.MicroStructureevoluTionafterthermAlexpoSureinweldinterfaceofTi2Alnb/TC11duAlAlloyforgedatdifferenttemperatureS[J].TranSacTionSoftheChinaWeldingInSTituTion,2014,35(11):79?83,117.
[6]秦春,姚澤坤,周偉,等.熱暴露對Ti?24Al?15nb?1.5Mo/TC11焊接界面顯微硬度和元素分布的影響[J].焊接學報,2012,33(8):33?36.
QinChun,YaoZekun,ZhouWei,etAl.EffectofthermAlexpoSureonmicrohardneSSaNdelementdiStribuTioninweldinginterfaceofTi?24Al?15nb?1.5Mo/TC11duAlAlloyS[J].TranSacTionSoftheChinaWeldingInSTituTion,2012,33(8):33?36.
[7]左從進,李晉煒,余偉,等.高溫鈦合金Ti?55與Ti?60電子束焊接頭性能[J].焊接學報,2011,32(4):103?106.
ZuoCongjin,LiJinwei,YuWei,etAl.TenSileperformanceofTi?55aNdTi?60jointSweldedbyelectronbeamwelding[J].TranSacTionSoftheChinaWeldingInSTituTion,2011,32(4):103?106.
[8]李明兵,王新南,商國強,等.近α型、(α+β)型和近β型鈦合金的高溫力學性能[J].金屬熱處理,2022,47(11):200?204.
LiMingbing,WangXinnan,Shangguoqiang,etAl.hightemperaturemechanicAlproperTieSofnearα,(α+β)aNdnearβtypeTiTAniumAlloyS[J].heatTreatmentofMeTAlS,2022,47(11):200?204.
[9]Ligeping,LiDong,LiuYuyin,etAl.MorphologycharacteriSTicSofNd?richphaSeparTicleSinmelt?quenchedTi?5Al?4Sn?2Zr?1Mo?0.25Si?1NdAlloy[J].JournAlofMateriAlSScienceaNdTechnology,1995,14(6):460?462.
[10]Ligeping,LiQingchun,LiDong,etAl.StructureofSecoNdphaSeparTicleSin
aS?caStTi?5Al?4Sn?2Zr?1Mo?0.25Si?1NdAlloy[J].
JournAlofMateriAlSScienceaNdTechnology,1998,17(1):41?44.
[11]Ligeping,LiDong,LiuYuying,etAl.Nd?richphaSeparTicleSinaS?forgedTi?5Al?4Sn?2Zr?1Mo?0.25Si?1NdAlloy[J].acTAMeTAllurgicaSinica(EngLiShLetterS),1998,11(4):261?264.
[12]Ligeping,LiDong,LiuYuying.nucleaTionofrareearth?richphaSeparTicleS
inTi?5Al?4Sn?2Zr?1Mo?0.25Si?1NdAlloy[J].acTAMeTAllurgicaSinica(EngLiShLetterS),1998,11(4):265?269.
[13]Ligeping,guanShaoxuan,WangQingjiang,etAl.EffectofhightemperaturedeformaTiononMorphologyofNd?richphaSeparTicleSinTi?5Al?4Sn?2Zr?1Mo?0.25Si?1NdAlloy[J].acTAMeTAllurgicaSinica(EngLiShLetterS),1995,8(6):45?49.
[14]ZhangShangZhou,XuhuiZhong,LiuZiquan,etAl.AlloyingelementScharacteriZaTioninaTi?5.6Al?4.8Sn?2Zr?1Mo?0.35Si?1NdTiTAniumAlloybycarbonaddiTion[J].JournAlofUniverSityofScienceaNdTechnologyBeijing(EngLiShEdiTion),2005,12(3):252?256.
[15]ZhangShangZhou,gaoYuan,Wangguodong,etAl.growthbehaviorofαphaSeinTi?5.6Al?4.8Sn?2.0Zr?1.0Mo?0.35Si?0.7NdTiTAniumAlloy[J].JournAlofMateriAlSScienceaNdTechnology,2006,22(4):459?464.
[16]WangKelu,LuShiqiang,DongXianjuan.DeformaTionbehaviorofTi?5.6Al?4.8Sn?2.0Zr?1.0Mo?0.35Si?0.85NdAlloyinβ/quaSi?βforgingproceSS[J].JournAlofIronaNdSteelReSearch(InternaTionAl),2016,23(12):1297?1302.
相關鏈接
- 2024-01-12 加熱速度對航空航天材料用TA12(Ti55)鈦合金的影響
- 2023-05-13 國內外BT36/BT9/TC11/Ti55等高溫鈦合金材料的應用現狀與發展趨勢

